Exercícios - Vetores
Exercícios de fixação
Vetores
Fonte: Adaptado de Rafael Helerbrock - https://mundoeducacao.uol.com.br/fisica/vetores
Simbólicamente, como grafo, Vetores são segmentos de retas usados para representar alguma grandeza vetorial.

Vetor é um segmento de reta orientado que apresenta módulo (tamanho), direção e sentido. Os vetores são usados para expressar grandezas físicas vetoriais, ou seja, aquelas que só podem ser completamente definidas se conhecemos o seu valor numérico, a direção em que atuam (horizontal e vertical), bem como o seu o sentido (para cima, para baixo).
Posição, velocidade, aceleração, força e quantidade de movimento são bons exemplos de grandezas vetoriais. Por exemplo, se quisermos saber a posição de algum local, é necessário que se aponte para uma direção. Nesse caso, o sentido do movimento é dado pela ponta do dedo.

Para desenharmos vetores, é necessário perceber que sua representação deve levar em conta o seu tamanho, ou seja, um vetor que represente uma grandeza de valor numérico igual a 10 deve ser desenhado com a metade do tamanho de um vetor que tenha tamanho 20.

As direções de um vetor podem ser definidas com base no sistema de coordenadas escolhido, por exemplo. Usando-se o sistema cartesiano, as direções do espaço seriam x e y e um vetor poderia ser escrito como V=(x,y). O sentido, por sua vez, diz respeito à seta na ponta do vetor, que o indica, podendo ser tanto positivo como negativo.

Quando escrevemos que um vetor é definido por suas coordenadas x e y, dizemos que x e y são as suas componentes "horizontal" e "vertical", respectivamente. Quando um vetor encontra-se inclinado, sem coincidir com qualquer um dos eixos do sistema de coordenadas, é possível determinar o tamanho das suas componentes. Para tanto, basta conhecermos o ângulo θ, formado entre o vetor e a direção "horizontal", e o módulo do vetor a:

Para calcularmos essas componentes, é necessário fazer o seguinte cálculo:

Com base nas componentes ax e ay de um vetor, é possível calcular o seu módulo (tamanho). Para isso, basta aplicarmos o teorema de Pitágoras, uma vez que essas componentes são perpendiculares entre si:
Vetor resultante
Vetor resultante é o nome dado ao vetor que se obtém após realizar-se uma soma vetorial. Na soma vetorial, devemos considerar o módulo, a direção e o sentido dos vetores para encontrarmos o vetor resultante. Vejamos, a seguir, alguns casos de operações com vetores.
Operações com vetores
→ Soma de vetores
Vetores paralelos são aqueles que se encontram na mesma direção e no mesmo sentido. O ângulo formado entre esses vetores é sempre nulo. Observe a figura abaixo:

Caso esses vetores tenham também o mesmo módulo, dizemos que se trata de vetores iguais. Para encontrarmos a resultante desses vetores, basta somarmos o módulo de cada um, além disso, o vetor resultante estará na mesma direção e sentido dos vetores paralelos, e seu tamanho deverá ser o tamanho dos dois vetores originários:

Para calcularmos o módulo do vetor R, podemos utilizar a seguinte fórmula:
→ Subtração de vetores
Vetores opostos fazem um ângulo de 180º entre si, encontram-se na mesma direção, porém com sentidos contrários, como mostra a figura:

O vetor resultante de dois vetores opostos é dado pela diferença no módulo desses, como é possível ver na figura seguinte:

Nesse caso, o vetor resultante terá sua direção e sentido determinados pelo vetor de maior módulo e poderá ser calculado por meio da seguinte fórmula:
→ Vetores perpendiculares: Teorema de Pitágoras
Vetores perpendiculares formam um ângulo de 90º entre si. Para encontrarmos o vetor resultante de dois vetores perpendiculares, devemos ligar o início de um dos vetores à ponta do outro. O vetor resultante, nesse caso, formará a hipotenusa de um triângulo retângulo, observe:

O módulo desse vetor resultante pode ser calculado usando o teorema de Pitágoras:
→ Vetores oblíquos: regra do paralelogramo
Vetores que não se encaixem em nenhum dos casos anteriores podem ser determinados geometricamente pela regra do paralelogramo, como na próxima figura:

Sendo θ o ângulo formado entre os dois vetores de base (azul e vermelho), o módulo do vetor resultante poderá ser obtido por meio da próxima fórmula:
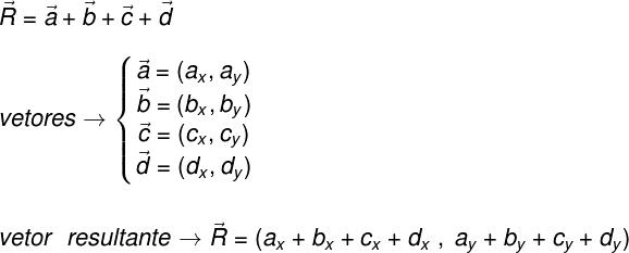
→ Resultante de vários vetores
Quando temos diversos vetores e queremos encontrar o vetor resultante, devemos conectá-los uns aos outros. Nesse processo, que independe da ordem escolhida, devemos ligar a ponta de um vetor ao início do próximo. No fim, o vetor resultante será aquele que liga o início do primeiro vetor com a ponta do último:

Para encontrarmos o módulo desse vetor, somamos as componentes x e y de cada um dos vetores a, b, c, e d, e, no fim, aplicamos o Teorema de Pitágoras.

Para expressar a soma de vetores na forma de somatório, considere dois vetores A e B com componentes Ai e Bi, respectivamente. A soma desses vetores C=A+B também é um vetor, onde cada componente Ci é a soma dos componentes correspondentes de A e B.
A soma pode ser representada assim:
C=∑i=1n(Ai+Bi)ei
ou, para o somatório de componentes:
onde:
i indica o índice de cada componente do vetor.
n é o número de componentes nos vetores.
ei é o vetor unitário na direção do i−eˊsimo componente (em notação vetorial).
Exemplo
Para vetores em 3D, A=(A1,A2,A3) e B=(B1,B2,B3)
C=∑i=13(Ai+Bi)=(A1+B1)i+(A2+B2)j+(A3+B3)k
Assim, a notação de somatório é uma forma conveniente de expressar a soma dos vetores em suas componentes individuais.
Teste:
Vamos fazer dois exemplos exemplos e resolver com números inteiros.
Considere dois vetores em 3D:
A=(2,5,−3)B=(4,−1,6)
Queremos encontrar o vetor soma C=A+B.
Passo 1: Definir a soma em termos de somatório
A fórmula para a soma de vetores em componentes usando somatório é:
C=∑i=13(Ai+Bi)ei
onde Ai e Bi são as componentes de A e B, respectivamente, e ei são os vetores unitários i, j, e k para as direções x, y, e z.
Passo 2: Somar as componentes de cada direção
Agora somamos cada componente correspondente dos vetores A e B:
Componente x : A1+B1=2+4=6
Componente y : A2+B2=5+(−1)=4
Componente z : A3+B3=−3+6=3
Passo 3: Escrever o vetor soma
Assim, o vetorC=A+B é:
C=(6,4,3)
Ou, em notação vetorial com unitários:
C=6i+4j+3k
Resumo
Portanto, a soma dos vetores A=(2,5,−3) e B=(4,−1,6) resulta no vetor:
C=(6,4,3)
Atividade: Estude os exercícios resolvidos sobre vetores e desenvolva:
Um algoritmo
Um fluxograma
Uma implementação (portugol ou outra linguagem de programação)
Exercícios resolvidos
1) Assinale a alternativa que apresenta corretamente o módulo da resultante de dois vetores, A e B, cujas componentes são dadas por A = (12,5) e B = (-9,-1).
a) 12
b) 4
c) 6
d) 5
e) 3
Gabarito: Letra D
Resolução:
Para determinarmos o vetor resultante dos vetores A e B, precisamos somar suas componentes x e y, para tanto, faremos o seguinte cálculo:

De acordo com o resultado encontrado, o vetor resultante é dado VR=(3,4) e seu módulo vale 5.
2) Dois vetores, de módulos iguais a 3 e 2, formam entre si um ângulo de 60º. Determine o módulo da resultante desses vetores.
a) 6
b) √6
c) 5
d) √19
e) 5
Gabarito: Letra E
Resolução:
Para calcularmos o módulo do vetor resultante entre esses dois vetores oblíquos, é necessário utilizarmos a lei dos cossenos, considerando que o ângulo entre esses vetores é 60º. Dessa forma, teremos que fazer o seguinte cálculo:

3) Um vetor A, de módulo 5, encontra-se inclinado com ângulo de 30º em relação ao eixo horizontal. Determine o módulo das componentes horizontal e vertical, Ax e Ay, desses vetores.
a) √3 e √2
b) 5√3/2 e 5/2
c) 5/2 e 5
d) 3/4 e 5/2
e) 25 e √2
Gabarito: Letra B
Resolução:
Para determinarmos quais são as componentes do vetor A, devemos utilizar as relações do seu módulo com o seno e o cosseno do ângulo de 30º, que esse vetor forma com a direção x. Para tanto, devemos fazer o seguinte cálculo:

4) Vamos considerar três vetores em 3D:
A=(3,−2,5)B=(4,1,−3)C=(−1,3,2)
Queremos encontrar o vetor soma R=A+B+C.
Passo 1: Definir a soma em termos de somatório
Para somar os vetores, usamos a seguinte expressão:
R=∑i=13(Ai+Bi+Ci)ei
onde Ai, Bi, e Ci são as componentes dos vetores A, B, e C, respectivamente, e ei são os vetores unitários i, j, e k para as direções xx, y, e z.
Passo 2: Somar as componentes de cada direção
Agora, somamos cada componente correspondente dos vetores A, B, e C:
Componente x : A1+B1+C1=3+4+(−1)=6
Componente y : A2+B2+C2=−2+1+3=2
Componente z : A3+B3+C3=5+(−3)+2=4
Passo 3: Escrever o vetor soma
Assim, o vetor resultante R=A+B+C será:
R=(6,2,4)
ou, em notação vetorial com unitários:
R=6i+2j+4k
Resumo
Portanto, a soma dos vetores A=(3,−2,5), B=(4,1,−3) e C=(−1,3,2) resulta no vetor:
R=(6,2,4)
Atualizado